Nonlinear optical (NLO) crystals can
efficiently convert the frequency of common solid-state laser with fixed or
limited wavelengths. Since the first observation of second-harmonic generation
(SHG) phenomenon in the early 1960s, they have played an increasing role in the
fields of laser spectra, precision measurements, and quantum information, as
well as industrial laser processing, and so on. However, it is still
challenging to rationally design and synthesize new NLO crystals.
The first noncentrosymmetric d0 TM fluoroantimonate, Cs6Sb4Mo3O5F26, has been achieved by substituting the d0 TM in centrosymmetric Cs8Sb4Nb5O5F35. Cs6Sb4Mo3O5F26 features a phase-matchable SHG response of about 72% of the commercial KDP. Its powder laser-induced damage threshold (133.5 MW/cm2) is about 33.4 times that of AGS (4.0 MW/cm2).
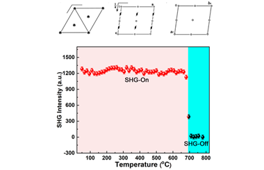
Three polymorphisms and two-step phase transitions of LiCdBO3 were investigated by the combination of powder X-ray diffraction, thermal analysis experimental techniques and the first principles calculations for the first time. The SHG switching was also achieved with a NLO switching contrast of about 625, indicating the potential applications in the sensors and optoelectronics.
Deep-ultraviolet nonlinear-optical crystal BaNa2[PO3(OH)]2 featuring two-dimensional [NaPO3(OH)]∞ alveolate layers can realize a good balance of nonlinear properties.
The co-crystallization of telluric acid and iodate gives rise to two noncentrosymmetric crystals AIO3·H6TeO6 (A = Rb+, NH4+). They show different intensity of SHG responses due to the slight change of the orientation of [IO3] and [Te(OH)6] groups induced by different cations in A-site.
In this review, the progress of high-performance sulfide IR NLO materials since 2018 has been highlighted, and 13 cases of chalcogenides with balanced optical properties of SHG (≥ 1.0 × AGS) and band gap (≥ 3.0 eV) have been summarized and discussed in detail.
This paper summarizes the research achievements of F-containing NLO iodates reported until now, focusing on their crystal structures, NLO properties, and structure-property relationships. Meanwhile, various structure designing strategies for F-containing iodates with different valence center cations are also highlighted.
In this review, we describe how to obtain the refractive index and birefringence of NLO materials from crystals sub-millimeters to centimeters in size, and summarize the recently developed methods for rapid assessment of birefrin-gence. In addition, representative examples of birefringent measurements are also presented.
This review focuses on the NLO materials with B3O6-typed groups, and we roughly divide these groups into several categories, including cyanurates (HxC3N3O3)x−3 (x = 0–3), barbiturates (HxC4N2O3)x−4 (x = 2, 3), melamines (C3H7N6)+, (C5H6ON)+ and (C4H6N3)+ groups.
A brief summary on the synthesis of Sb(III)-based compounds is presented in this review, including flux method, solution reaction, hydrothermal synthesis, ionothermal synthesis and solvent-free synthesis.
It is still very challenging to realize accurate design and synthesis of second-order nonlinear optical (NLO) crystals and evaluate the overall performance of new ultraviolet NLO materials. We, from the perspective of microscopic crystal structure based on KBBF, elaborate the accurate design and synthesis of high-performance NLO materials and analyse which atoms and groups can be replaced.