Synthesis, Crystal Structure, Fungicidal Activities and  Molecular Docking of Acyl Urea Derivatives  Containing 2-Chloronicotine Motif

SUN Guo-Xiang, WANG Qiao, MIN Li-Jing, HAN Liang and LIU Xing-Hai*

Chin. J. Struct. Chem. 2022, 41, 2202114-2202122  DOI: 10.14102/j.cnki.0254-5861.2011-3249

February 15, 2022

acyl urea compounds, crystal structure, synthesis, antifungal activity, docking

ABSTRACT

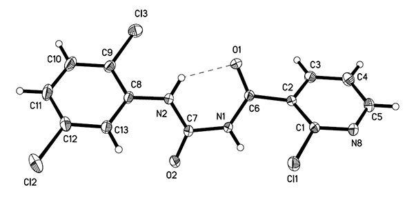
Eighteen new acyl urea derivatives containing 2-chloronicotine moiety were synthesized using 2-chloronicotinic acid as starting material via 4 steps conveniently. These 2-chloronicotine acyl urea structures were confirmed by 1H NMR, 13C NMR and HRMS. Compound 4r was further confirmed by X-ray diffraction. It crystallizes in the orthorhombic system, space group Pbca with a = 7.2960(3), b = 14.8546(6), c = 25.2840(11) Å, V = 2740.3(2) Å3, Z = 8, the final R = 0.0442 and wR = 0.1033 for 4028 observed reflections with I > 2σ(I). The antifungal activity results demonstrate that some of these compounds possessed good activity against B. cinerea, G. zeae, P. piricola, and P. Capsici at 50 ppm. Further molecular docking results indicated that the key group is urea bridge and pyridine ring.



PDF Download PDF Download Supporting Information

Download Times 5160 Article Views 1613