Syntheses and Crystal Structures of a Pair of Z-E Enaminonitrile Isomerisms

ZHENG Bin, WANG Shu-Qin, ZHANG Xiao-Ting and HUANG Wan-Yun*

Chin. J. Struct. Chem. 2021, 40, 821-826  DOI: 10.14102/j.cnki.0254-5861.2011-3001

June 15, 2021

enaminonitrile, Z-E isomers, crystal structure, X-ray crystallography

ABSTRACT

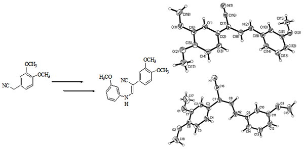
A pair of Z-E enaminonitrile isomerisms 2-(3,4-dimethoxyphenyl)-3-((3-methoxyphenyl)ami- no)acrylonitrile (C18H18N2O3, Mr = 310.34) were synthesized and separated by flash column chromatography, and their structures were determined by IR, 1H NMR, 13C NMR, MS and single-crystal X-ray diffraction. The crystal of compound 2a belongs to the monoclinic system, space group C2/c with a = 33.805(7), b = 5.4496(12), c = 18.401(4) Å, β = 112.45(2)º, = 3133.1(12) Å3Z = 8, μ = 0.091 mm-1Dc = 1.143 g×cm-3, the final R = 0.0491 and wR = 0.1439 for 2764 observed reflections (I > 2σ(I)). The crystal of compound 2b belongs to the triclinic system, space group P1, with a = 8.8403(7), b = 9.0390(6), c = 12.0044(74) Å, α = 72.075(5), β = 86.291(5), γ = 81.216(5)º, = 901.82(10) Å3Z = 2, T = 293(2) K, μ = 0.079 mm-1Dc = 1.143 g×cm-3, the final R = 0.0474 and wR = 0.1377 for 3176 observed reflections (I > 2σ(I)). The crystal packing of 2a and 2b is governed by intermolecular N(2)–H(2)···N(1) and N(2)–H(2)···O(2) interactions respectively to stabilize the structure.

PDF Download PDF Download Supporting Information

Download Times 4962 Article Views 1665