Synthesis, Crystal Structures and Cytotoxic Activities of Two New Pyrimidine Derivatives of Ursolic Acid

WANG Wen-Yan, LI A-Liang, LIU Qing-Song, SUN Yue and GU Wen*

Chin. J. Struct. Chem. 2021, 40, 239-245  DOI: 10.14102/j.cnki.0254-5861.2011-2818

February 15, 2021

ursolic acid, pyrimidine, crystal structure, cytotoxic activity

ABSTRACT

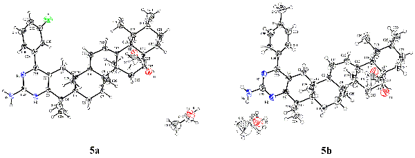
The title compounds (5a and 5b) were synthesized from ursolic acid and their structures were characterized by spectroscopic methods including ESI-MS, 1H-NMR, 13C-NMR and elemental analysis. The crystal structures of compounds 5a and 5b were determined by single-crystal X-ray diffraction analysis. Compound 5a crystallizes in monoclinic system, P21 space group with a = 12.258(3), b = 10.396(2), c = 15.570(3) Å, b = 107.21(3)°, Z = 2, V = 1895.3(7) Å3, Mr = 659.90, Dc = 1.156 Mg/m3, S = 1.003, µ = 0.076 mm−1, F(000) = 716, the final R = 0.0686 and wR = 0.1430 for 1859 observed reflections (I > 2σ(I)). Compound 5b crystallizes in monoclinic system, P21 space group with a = 12.371(3), b = 10.647(2), c = 15.722(3) Å, b = 109.44(3)°, Z = 2, V = 1952.8(8) Å3, Mr = 655.93, Dc = 1.116 Mg/m3, S = 1.002, µ = 0.069 mm−1, F(000) = 716, the final R = 0.0686 and wR = 0.1882 for 2574 observed reflections (I > 2σ(I)). The preliminary cytotoxic assay indicated that compound 5b exhibited notable cytotoxic activity against MCF-7 and HeLa cells with the IC50 values of 10.71 ± 0.23 and 12.63 ± 0.31 μM, respectively.

PDF Download PDF Download Supporting Information

Download Times 4747 Article Views 2447