Cover Picture
Structural insights into lithium-deficient type Li-rich layered oxide for high-performance cathode

Dongyu He, Wenxin Tong, Jia Zhang, Zhongyuan Huang, Ziwei Chen, Maolin Yang, Rui Wang, Wenguang Zhao, Zhewen Ma*, Yinguo Xiao* Submit a Manuscript
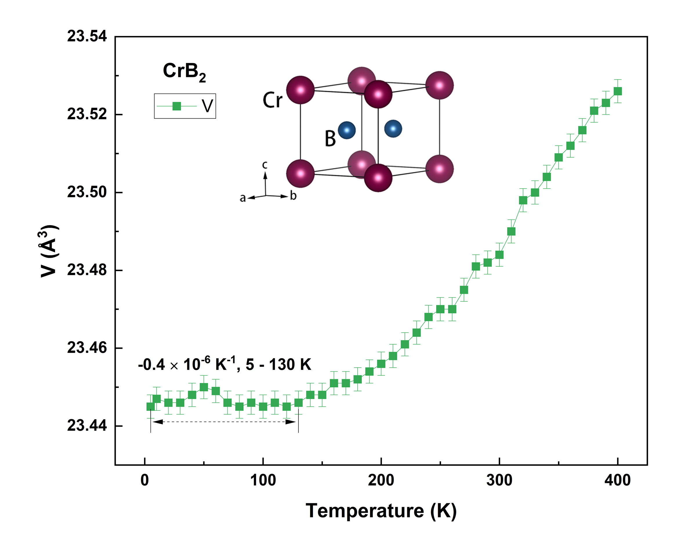
Neutron diffraction study on anomalous thermal expansion of CrB2

Yong Xu, Xin Chen, Yili Cao, Kun Lin, Chin-Wei Wang, Qiang Li, Jinxia Deng, Jun Miao, Xianran Xing*

Chin. J. Struct. Chem., 2023, 42: 100009. DOI: 10.1016/j.cjsc.2022.100009

May 15, 2023

Negative thermal expansion; Neutron diffraction; Diboride

ABSTRACT

Thermal expansion is an essential issue in the field of materials science and engineering. Investigation of anomalous thermal expansion is beneficial to controlling it and developing related functions. Here, we report disitinctly anisotropic thermal expansion of CrB2 via temperature dependence of neutron diffraction, in which positive thermal expansion is observed within basal plane whereas negative thermal expansion emerges along the c direction. Intriguingly, zero thermal expansion of unit cell volume is determined from 5 to 130 K with the coefficient of thermal expansion of V = 0.4(1) × 10−6 K−1. Magnetization measurement shows there is an antiferromagnetic-paramagnetic transition near 90 K, which may correlate to the thermal expansion anomaly. DFT calculations identify no chemical binding of Cr–Cr pair, implying such antiferromagnetic ordering originates from the double exchange interaction of Cr–B–Cr.

PDF Download PDF Download Supporting Information

Download Times 0 Article Views 2281