Cover Picture
A new SIFSIX anion pillared cage MOF with crs topological structure for efficient C2H2/CO2 separation
Huirong Chen, Yingzhi He, Yan Han, Jianbo Hu, Jiantang Li, Yunjia Jiang, Basem Keshta, Lingyao Wang, Yuanbin Zhang* Submit a Manuscript
Structural determination and exotic resistive behaviour of α-RuI3 under high-pressure

Zhongxiong Sun, Haili Song, Mei-Huan Zhao, Yijie Zeng*, Man-Rong Li*

Chin. J. Struct. Chem., 2025, 44(2), 100429. DOI: 10.1016/j.cjsc.2024.100429

February 1, 2025

ABSTRACT

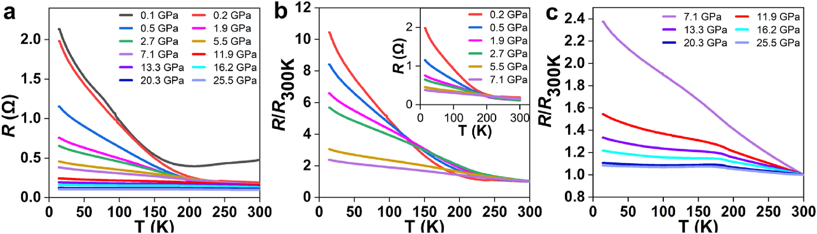
In conclusion, we collected SAED patterns from different orientations to fit the lattice parameters, demonstrating R-3 space group for α-RuI3. Density functional theory calculations were employed to discuss the energy advantage of 3R and 2H phases under various pressures, with the former showing lower energy than the latter under the synthesized pressure. Moreover, the ΔH-P curves imply that the 2H phase will emerge at approximately 11 GPa. Furthermore, the in-situ pressure-dependent resistance measurements reveal the metallic behaviour up to 25.5 GPa. Upon cooling from room temperature, the resistance increases first slowly and then rapidly at low pressure. Above 11.9 GPa, the resistance behaviour undergoes a great change—it initially increases fast and then slightly almost independent of temperature. The calculated electronic structure under HP shows semi-metallic behaviour, consistent with the experimental observation. Furthermore, the pressure point, where resistance behaviour dramatically changes, is close to the calculated one when P-31c structure emerges, indicating that the resistance changes may be driven by pressure-induced structure transformation. Our work clarifies the detailed structure of α-RuI3 and gives an in-depth investigation of its electrical transport behaviour under HP.


PDF Download PDF Download Supporting Information

Download Times 0 Article Views 4685