September 2021Vol. 40, Issue 9
JIA Jing-Xian, PANG Yu, YANG Jing*, LI Min-Xian, MENG Xiang-Jun, GAO Xiao-Zhen, LIU Li-Hua and LIU Meng-Na
Chin. J. Struct. Chem. 2021, 40, 1113-1121 DOI: 10.14102/j.cnki.0254-5861.2011-3143
September 15, 2021
4-nitro-5-(5-nitroimino-1,2,4-triazol-3-yl)-2H-1,2,3-triazolate, high energy density materials, density functional theory, explosive
ABSTRACT
LU Zhi-Qiang*, LI Yan-Zhi, HAO Chu, RU Yi, YANG Shu-Jian, ZHANG Ning-Dan, FU Yu-Qin*, WU Wei-Long and ZHOU Yan
Chin. J. Struct. Chem. 2021, 40, 1122-1130 DOI: 10.14102/j.cnki.0254-5861.2011-3206
September 15, 2021
synthesis, complex, luminescence, magnetic property
ABSTRACT
XU Zhong-Xuan*, HU Bang-Ping, LI Li-Feng and XU Shi-Fei
Chin. J. Struct. Chem. 2021, 40, 1131-1137 DOI: 10.14102/j.cnki.0254-5861.2011-3139
September 15, 2021
homochiral coordination polymers, helical chain, metal ion effect, supramolecular framework
ABSTRACT
WANG Cheng-Peng, KASHI Chiranjeevulu, YE Xiao-Liang, LI Wen-Hua, WANG Guan-E* and XU Gang
Chin. J. Struct. Chem. 2021, 40, 1138-1144 DOI: 10.14102/j.cnki.0254-5861.2011-3133
September 15, 2021
coordination polymer, photoluminescence, semiconductor, humidity sensor, conductivity
ABSTRACT
Synthesis, Crystal Structure and Photoluminescence of a TADF Dinuclear Cu(I) Complex
TANG Sheng, YU Rong-Min* and LU Can-Zhong*
Chin. J. Struct. Chem. 2021, 40, 1145-1151 DOI: 10.14102/j.cnki.0254-5861.2011-3130
September 15, 2021
Cu(I) complex, crystal structure, photoluminescence, DFT calculation
ABSTRACT
ZHU Kun, YANG Jin-Xia, QIN Ye-Yan and YAO Yuan-Gen*
Chin. J. Struct. Chem. 2021, 40, 1152-1160 DOI: 10.14102/j.cnki.0254-5861.2011-3129
September 15, 2021
zinc(II) compounds, hydrothermal reaction, aliphatic dicarboxylates, mix-ligand, luminescence
ABSTRACT
Syntheses, Crystal Structures and Different Magnetic Behaviors of Three Cyanide-bridged FeII-MII (M = Fe, Co and Mn) Complexes
HUANG Ying-Ying, XU Qing-Dou, HU Sheng-Min, WU Xin-Tao and SHENG Tian-Lu*
Chin. J. Struct. Chem. 2021, 40, 1161-1168 DOI: 10.14102/j.cnki.0254-5861.2011-3123
September 15, 2021
cyanide-bridged, magnetic property, spin crossover
ABSTRACT
LI Deng-Peng, XU Zhi-Huang, YE Li-Wang, CAO Teng-Fei and ZHUANG Xin-Xin*
Chin. J. Struct. Chem. 2021, 40, 1169-1176 DOI: 10.14102/j.cnki.0254-5861.2011-3119
September 15, 2021
hexamethylenetetramine, crystal structure, thermal stability, susceptibility
ABSTRACT
Synthesis, Photochromism and Switchable Photoluminescence of a Cd-based Metalloviologen Complex
SUN Jing, YU Cao-Ming, CAI Li-Zhen* and GUO Guo-Cong*
Chin. J. Struct. Chem. 2021, 40, 1177-1182 DOI: 10.14102/j.cnki.0254-5861.2011-3101
September 15, 2021
crystal structure, metalloviologen, photochromism, switchable photoluminescence
ABSTRACT
Two New Antimony(III) Chloride Hybrids Composed of Mononuclear [SbCl6]3- Unit and Ionic Liquid Cations with Different Length of Alkyl Chain
ZHANG Zhi-Zhuan, JIN Jian-Ce, GONG Liao-Kuo*, DU Ke-Zhao and HUANG Xiao-Ying*
Chin. J. Struct. Chem. 2021, 40, 1183-1193 DOI: 10.14102/j.cnki.0254-5861.2011-3099
September 15, 2021
antimony(III) chloride, ionic liquid, luminescence, distortion
ABSTRACT
Efficient Near-infrared Down-conversion Phosphor of Ce3+/Yb3+ Co-doped La3Ga5SiO14 and Its Spectral Structural Modulation
YU Wan-Jun, GONG Xing-Hong and QIN Hao-Ran*
Chin. J. Struct. Chem. 2021, 40, 1194-1204 DOI: 10.14102/j.cnki.0254-5861.2011-3111
September 15, 2021
Ce3+/Yb3+, down-conversion, phosphor, ions substitution, solar cells
ABSTRACT
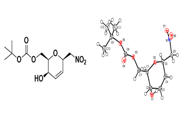
Synthesis and Crystal Structure oftert-Butyl(((2R,3R,6R)-3-hydroxy-6-(nitromethyl)-3,6-dihydro-2H-pyran-2-yl)methyl)carbonate
FENG Yong-Kui, SU Hua-Lan, MUKULA OTUKOL Billy Joel, ZHANG Xue-Qing, YAO Hui* and HUANG Nian-Yu*
Chin. J. Struct. Chem. 2021, 40, 1205-1212 DOI: 10.14102/j.cnki.0254-5861.2011-3120
September 15, 2021
X-ray diffraction, crystal structure, absolute configuration, β-C-pyranogalactoside, α-glucosidase inhibitory activity
ABSTRACT
Covalent Triazine Frameworks-derived N,P Dual-doped Porous Carbons for Highly Efficient Electrochemical Reduction of CO2
ZHANG Meng-Di, YI Jun-Dong, HUANG Yuan-Biao* and CAO Rong*
Chin. J. Struct. Chem. 2021, 40, 1213-1222 DOI: 10.14102/j.cnki.0254-5861.2011-3118
September 15, 2021
carbon dioxide, electrocatalysis, covalent triazine frameworks, N,P dual-doped carbons, carbon monoxide
ABSTRACT
XU Chao-Sheng and LV Pei-Wen*
Chin. J. Struct. Chem. 2021, 40, 1223-1230 DOI: 10.14102/j.cnki.0254-5861.2011-3144
September 15, 2021
TiO2, photo-assisted, Mott-Schottky, photocatalyst
ABSTRACT
Microwave-assistant Syntheses, Crystal Structures and Safener Activities of Two Substituted Phenyl Isoxazole Derivatives
GAO Ying-Chao, SHAO Xin-Xin and FU Ying*
Chin. J. Struct. Chem. 2021, 40, 1231-1237 DOI: 10.14102/j.cnki.0254-5861.2011-3142
September 15, 2021
isoxazole benzoxazine formamide, microwave-assistant synthesis, single-crystal structure, safener activity
ABSTRACT
JIAO Yang, ZHANG Jia-Ding, WANG Shu-Zhang, YAO Hui, LIU Ming-Guo* and HUANG Nian-Yu*
Chin. J. Struct. Chem. 2021, 40, 1238-1245 DOI: 10.14102/j.cnki.0254-5861.2011-3124
September 15, 2021
X-ray diffraction, crystal structure, absolute configuration,β-thiogalactoside, cytotoxity
ABSTRACT