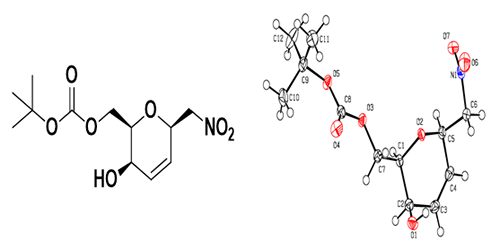
Synthesis and Crystal Structure oftert-Butyl(((2R,3R,6R)-3-hydroxy-6-(nitromethyl)-3,6-dihydro-2H-pyran-2-yl)methyl)carbonate

FENG Yong-Kui, SU Hua-Lan, MUKULA OTUKOL Billy Joel, ZHANG Xue-Qing, YAO Hui* and HUANG Nian-Yu*

Chin. J. Struct. Chem. 2021, 40, 1205-1212  DOI: 10.14102/j.cnki.0254-5861.2011-3120

September 15, 2021

X-ray diffraction, crystal structure, absolute configuration, β-C-pyranogalactoside, α-glucosidase inhibitory activity

ABSTRACT

In this paper, a β-C-pyranogalactoside (IX) was synthesized from D-galactose through a nine-step reaction with a total yield of 32% under the palladium catalyst, and its structure was characterized by nuclear magnetic resonance (NMR) and high-resolution electrospray ionization mass spectrometry (HR-ESI-MS). The absolute configuration of this pyranogalactoside was confirmed with a Flack parameter of –0.01(6) by X-ray crystallography using a Cu radiation source. Compound (IX), C12H19NO7, crystal data: monoclinic system, space group P212121, a = 8.53480(10), b = 9.4207(2), c = 18.1308(3) Å, V = 1457.79(4) Å3, Z = 4, F(000) = 616, Dc = 1.318 g/cm3, μ = 0.931 mm−1, R = 0.0294 and wR = 0.0752 for 2875 independent reflections (Rint = 0.0163) and 2857 observed ones (I > 2σ(I)).

PDF Download PDF Download Supporting Information

Download Times 4434 Article Views 1649